早/中孕期孕妇肠道菌群差异及其与妊娠期糖尿病的关系:前瞻性队列研究

Difference in Gut Microbiota between the First and the Second Trimester of Pregnancy and the Association of Gut Microbiota with Gestational Diabetes Mellitus: A Prospective Cohort Study

  • 摘要:
      目的  探讨早/中孕期妇女的肠道菌群物种及功能特点,并分析其与妊娠期糖尿病(gestational diabetes mellitus, GDM)的关系。
      方法  前瞻性收集并分析2017年5月至12月北京协和医院产科招募的早孕期孕妇的临床资料。依据孕24~28周75 g口服葡萄糖耐量试验(oral glucose tolerance test, OGTT)结果分为GDM组(研究组)和非GDM组(对照组)。分别于早孕期和中孕期收集两组孕妇粪便标本,对肠道菌群的16S rRNA V4可变区进行DNA测序及生物信息学分析。采用多因素Logistic回归分析探讨肠道菌群Alpha多样性及菌群相对丰度与GDM的关系。
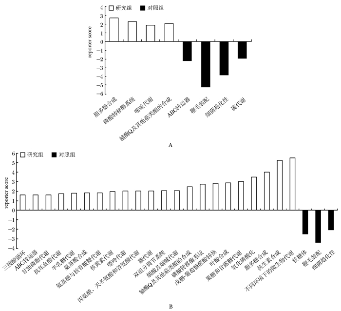
      结果  共145例符合纳入和排除标准的孕妇入选本研究。其中研究组34例、对照组111例。Alpha多样性分析显示,研究组早孕期Shannon指数和Simpson指数低于对照组(P均<0.05)。LEfSe分析显示,早孕期和中孕期,多个物种的相对丰度在两组间差异具有统计学意义(P均<0.05)。多因素Logistic回归分析显示,早孕期Shannon指数≤6.51(OR=3.15, 95% CI: 1.32~7.52)、Simpson指数≤0.96(OR=2.54,95% CI: 1.09~5.89)、拟普雷沃菌属(Alloprevotella)相对丰度≤0.004(OR=2.65, 95% CI: 1.09~6.44)、毛螺菌属(Lachnospira)相对丰度≤0.0107(OR=3.17, 95% CI: 1.33~7.55)是发生GDM的危险因素。肠道菌群功能预测比较显示, 早孕期时两组差异较少;中孕期时与能量代谢、糖代谢、氨基酸代谢和脂多糖(lipopolysaccharide, LPS)合成相关的通路在研究组显著富集。
      结论  与健康孕妇相比,中孕期GDM患者肠道菌群的功能特点为LPS合成、能量代谢、糖代谢和氨基酸代谢相关通路显著富集; 早孕期肠道菌群物种多样性降低及某些菌属的丰度降低是发生GDM的危险因素。

     

    Abstract:
      Objective  To characterize the characteristics of gut microbiota and its function in the first (T1) to second trimester(T2) of pregnancy and to evaluate its association with gestational mellitus diabetes (GDM).
      Methods  A prospective cohort study was conducted in Peking Union Medical College Hospital from May to December 2017. The pregnancies were divided into GDM group and non-GDM group (control group) according to the Results of 75 g oral glucose tolerance test at 24 to 48 weeks of gestation. Stool samples of all participants were collected in the first and the second trimester. The V4 region of the 16S rRNA gene was sequenced and analyzed. Multivariate Logistic regression analysis was used to investigate the relationship between Alpha diversity, relative abundance of intestinal flora and GDM.
      Results  A total of 145 pregnancies, of whom 34 diagnosed with GDM (GDM group) and 111 healthy (control group) were analyzed. The Alpha diversity of the GDM group (Shannon index and Simpson index) was significantly lower than that of the control group (P < 0.05). LEfSe analysis revealed that the relative abundance of several genera was different between the 2 groups in T1 or T2. Multivariate Logistic analysis showed that Shannon index ≤6.51 (OR=3.15, 95% CI: 1.32-7.52), Simpson index ≤0.96 (OR=2.54, 95% CI: 1.09-5.89), the lower relative abundance of Alloprevotella(OR=2.65, 95% CI: 1.09-6.44) and Lachnospira(OR=3.17, 95% CI: 1.33-7.55) in the first trimester were risk factors for GDM. The pathways of LPS biosynthesis, energy metabolism, glucose metabolism and amino acid metabolism of gut microbiome revealed through the Tax4Fun analysis were significantly enriched in the GDM group in T2.
      Conclusions  Compared with healthy controls, the functional characteristics of intestinal microflora in GDM patients during the second trimester were significantly enriched in functional pathways related to LPS synthesis, energy metabolism, glucose metabolism and amino acid metabolism. The decreases of the diversity as well as the relative abundance of some genus in the early pregnancy are the risk factors for GDM.

     

/

返回文章
返回