肝硬化患者发生急性肾脏病预测模型的建立与验证

Establishment and Validation of A Prediction Model for the Occurrence of Acute Kidney Disease in Patients with Liver Cirrhosis

  • 摘要:
      目的  建立可预测肝硬化患者发生急性肾脏病(acute kidney disease, AKD)的模型,并对其性能进行评价。
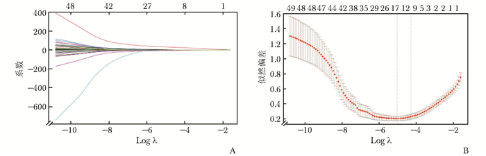
      方法  回顾性连续纳入2017年1月—2022年1月于兰州大学第一医院消化科住院的肝硬化患者。根据住院期间是否发生AKD,将其分为AKD组和非AKD组,并按7∶3比例随机分为训练集和验证集。收集两组患者临床资料,采用LASSO回归和多因素Logistic回归法筛选肝硬化患者发生AKD的影响因素并建立预测模型,采用受试者工作特征曲线、校准曲线和临床决策曲线对模型进行评价。
      结果  共入选符合纳入与排除标准的肝硬化患者796例。其中AKD组103例,非AKD组693例;训练集561例,验证集235例。LASSO回归和多因素Logistic回归结果显示,糖尿病史(OR=2.922, 95% CI: 1.290~6.564, P=0.009)、肝性脑病(OR=6.210, 95% CI: 2.278~17.479, P<0.001)、消化道出血(OR=2.501, 95% CI: 1.236~5.073, P=0.011)、腹水(OR=3.219, 95% CI: 1.664~6.539, P<0.001)、男性(OR=0.477, 95% CI: 0.254~0.879, P=0.019)、血红蛋白(OR=0.987, 95% CI: 0.975~0.999, P=0.044)、白蛋白(OR=0.952, 95% CI: 0.911~0.991, P=0.023)、凝血酶时间(OR=0.865, 95% CI: 0.779~0.920, P<0.001)是肝硬化患者发生AKD的独立影响因素,并以此构建列线图预测模型。模型在训练集、验证集中预测肝硬化患者发生AKD的曲线下面积分别为0.895(95% CI: 0.865~0.925)、0.869(95% CI: 0.807~0.930);校准曲线显示,模型的拟合度、一致性均良好;临床决策曲线显示,整体而言使用模型预测AKD发生风险可使肝硬化患者获益。
      结论  基于性别、糖尿病史、肝性脑病等8个影响因素建立了肝硬化患者发生AKD的预测模型,经验证该模型具有良好的区分度、校准度和临床实用性,有望辅助临床进行肝硬化相关AKD的早期筛查与识别。

     

    Abstract:
      Objective  To establish a model that can predict the occurrence of acute kidney disease (AKD) in liver cirrhotic patients and evaluate its performance.
      Methods  Liver cirrhotic patients who hospitalized in the department of gastroenterology of the First Hospital of Lanzhou University from January 2017 to January 2022 were retrospectively included. They were divided into AKD and non-AKD groups according to whether they were combined with AKD during hospitalization, and were randomized into training and validation sets in a 7∶3 ratio. The clinical data of patients in the two groups were collected, and LASSO regression and multifactorial Logistic regression were used to screen the influencing factors for the occurrence of AKD in patients with liver cirrhosis and to establish a prediction model. The model was then evaluated by using the receiver operating characteristic curve, the calibration curve and the clinical decision curve.
      Results  A total of 796 cases of liver cirrhotic patients who met the inclusion and exclusion criteria were enrolled. Among them, 103 cases were in the AKD group and 693 cases were in the non-AKD group; 561 cases were in the training set and 235 cases were in the validation set. The results of LASSO regression and multifactorial Logistic regression showed that a history of diabetes (OR=2.922, 95% CI: 1.290-6.564, P=0.009), hepatic encephalopathy (OR=6.210, 95% CI: 2.278-17.479, P < 0.001), gastrointestinal bleeding (OR=2.501, 95% CI: 1.236-5.073, P=0.011), ascites (OR=3.219, 95% CI: 1.664-6.539, P < 0.001), male (OR=0.477, 95% CI: 0.254-0.879, P=0.019), hemoglobin (OR=0.987, 95% CI: 0.975-0.999, P=0.044), albumin (OR=0.952, 95% CI: 0.911-0.991, P=0.023), and prothrombin time (OR=0.865, 95% CI: 0.779-0.920, P < 0.001) were the independent influences on the occurrence of AKD in liver cirrhotic patients, and were used to construct a prediction model. The area under the curve of the model in the training set and validation set for predicting the occurrence of AKD in liver cirrhotic patients was 0.895 (95% CI: 0.865-0.925) and 0.869 (95% CI: 0.807-0.930), respectively. The calibration curves showed that the model had good fit and consistency and the clinical decision curves showed that the use of the model for predicting the risk of AKD could benefit liver cirrhotic patients overall.
      Conclusions  A prediction model for the occurrence of AKD in liver cirrhotic patients was established based on eight influencing factors, including gender, history of diabetes, and hepatic encephalopathy. It was validated to have good discrimination, calibration, and clinical utility, and is expected to assist in the clinical early screening and identification of liver cirrhosis-associated AKD.

     

/

返回文章
返回